Российский сервопривод
Сервопривод производство
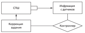
Сервопривод интеллектуальный СПШ – это высокопроизводительный сервопривод с векторным управлением по скорости и моменту. Данный сервопривод представляет собой уникальную разработку специалистов компании «Сервотехника», он предназначен для максимально широкого применения в промышленности и везде, где нужно точно перемещать полезную нагрузку.

Алюминиевый корпус сервопривода после 2020 года выпуска (имеет прямые углы)
Сервопривод СПШ - уникальная российская разработка
Инжиниринговый отдел компании Сервотехника разработал сервопривод СПШ в 2006 году. В конструкции сервопривода применена оригинальная схемотехника, используются высококачественные узлы и детали. Процессорная схема управляет ключами, на основе цифровых алгоритмов.
Производство цифровых плат и сборка сервопривода осуществляется на российском производственном предприятии полного цикла, недалеко от Москвы.

Особенности конструктива интегрированного сервопривода
Компановка внутренностей - модульная. Интерфейсная, цифровая плата управления и силовая плата - унифицированы и разнесены по отдельным плоскостям - это позволяет снизить наводки и исключить перегрев деталей. Ключи разнесены по двум рядам - это позволяет зафиксировать плату и равномерно распределить нагрев. Радиатором служит электрически-изолированный внешний прочный алюминиевый корпус сервопривода.
При сервисном обслуживании производится замена не всей электронной начинки, а только тех компонентов, которые требуют замены - это удешевляет ремонт и обслуживание сервопривода.
Настройка и программирование сервопривода осуществляется на основе подробному руководству по программированию. Более того, специалисты компании-разработчика всегда готовы помочь своим клиентам. Дополнительно возможно провести курсы по основам программирования сервоприводов на базе учебного центра компании Сервотехника.
Рекомендуемые области применения сервоприводов СПШ
- приводы подачи;
- приводы осей координатных столов и манипуляторов;
- распределенные системы линейного перемещения;
- упаковочное и конвейерное оборудование;
- оборудование для текстильного и пищевого производств;
- полиграфическое оборудование;
- штамповочные автоматы;
- рекламное оборудование;
- фрезерные, фрезерно-гравировальные станки и измерительные манипуляторы;
- приводы машин и механизмов специального назначения;
- лабораторное оборудование.
К настоящему времени на основе СПШ создан ряд стандартных линейных модулей, предназначенных для задач линейного позиционирования.

Данный сервопривод с векторным управлением является 100% российской разработкой. Разработка, производство, сборка, программирование и настройка сервопривода осуществляются на производственных мощностях в компании Сервотехника.
Сервопривод СПШ превосходит большинство иностранных аналогов по техническим характеристикам и функциональным возможностям. При этом он выгодно отличается от них по цене. Российских аналогов сервопривод СПШ не имеет.
Сервопривод разработан в России специалистами компании Сервотехника. Производство сервоприводов данного семейства на территории России обеспечивает максимально короткие сроки поставки и удобное гарантийное и сервисное обслуживание.
Интегрированный сервопривод СПШ объединяет в одном компактном корпусе все необходимое для обеспечения управления движением ротора шагового двигателя в различных режимах работы.
Гибкая система настройки и встроенный контроллер позволяют использовать разработанные «Сервотехникой» сервоприводы в различных областях, а благодаря стандартным фланцам NEMA и компактным размерам СПШ может быть использован и при модернизации оборудования.
Конструкция интегрированного сервопривода СПШ
Конструктивно сервопривод СПШ можно разделить на следующие основные блоки:
- гибридный шаговый двигатель с габаритами NEMA 23 и 34;
- преобразователь частоты на основе высокопроизводительного DSP процессора;
- блок управления (сервоконтроллер и программируемый логический контроллер в одном корпусе);
- датчик позиции вала мотора.
Отличия СПШ от шагового двигателя
- Двадцати-кратное (20х) увеличение динамики привода,
- Полное отсутствие пропуска шагов,
- Исключение резонансных диапазонов,
- Расширение рабочего диапазона скоростей,
- Увеличенная плавность хода,
- Увеличена максимальная скорость вращения и соответственно механическая мощность, вырабатываемая двигателем.
Сервоприводы – производство в России
Сервоприводы СПШ – разрабатываются и производятся на базе опытно-конструкторского производства компании Сервотехника в России. СПШ - это интегрированный сервопривод с обратной связью. Сервопривод производится в России более 15 лет, имеет множество внедрений в области промышленного и специального оборудования (изделий).
Сервопривод шаговый (сокращенно СПШ) представляет из себя полностью законченное решение, которое может поставляться как с блоком питания, так и без него.
Преимущества производства сервопривода СПШ в России
Сервопривод СПШ, разработанный и производимый в России, обладает рядом преимуществ, перед конкурентными сервоприводами, обычно завозимыми из других стран:
- доступная стоимость,
- компактная конструкция,
- индивидуальное тестирование каждого изделия,
- сервисная поддержка напрямую от разработчика/производителя внутри России.
Производство Сервопривода
Для производства сервопривода закупается только электромотор, и электронные детали для схем управления сервоприводом. Производство плат, компоновка, набивка / пайка электродеталей, производство корпуса, сборка, настройка и тестирование сервопривода осуществляется на российских предприятиях по схемам и чертежам, разработанным в компании Сервотехника. Сервопривод СПШ разработан российскими инженерами без привлечения зарубежных специалистов. На нашем головном предприятии осуществляется сборка, настройка и программирование сервоприводов, а также сервисное обслуживание.
Сервоприводы выполнены из проверенных комплектующих, которые помещены в прочный алюминиевый корпус. После настройки рабочей программы к сервоприводу подключается силовой и цифровой кабель управления, после чего, он готов к работе.
Производство плат для сервоприводов
Печатные платы для сервопривода были разработаны специалистами компании Сервотехника. Печатные платы производятся в России. Производственный номер платы: 202-100512. Платы для электронной начинки сервопривода удовлетворяют ГОСТ 23752-79. Платы заказываются сериями с тем, чтобы выпускать запланированное количество сервоприводов за определенный период времени.

Комплектация и набивка плат для сервоприводов
Печатные платы после их производства отправляются на завод, где происходит набивка плат - пайка электронных компонентов. Завод находится в России. Мы используем только высококачественные комплектующие от проверенных поставщиков. Предприятие имеет большой опыт выпуска различных плат для большого количества промышленных электронных устройств. Таким образом, качество и надёжность изготавливаемых плат подтверждена временем и практикой.

Платы с контроллером управления сервопривода устанавливаются в алюминиевый корпус. Корпус служит радиатором для силовых ключей серовпривода, таким образом выполняется две задачи одновременно: охлаждение силовых ключей и защита электронных компонентов внутри корпуса сервопривода.

Встроенные энкодеры для сервоприводов
Сервопривод СПШ - имеет систему так называемой обратной связи, реализованной на основе энкодера. Сервоприводы СПШ имеют в составе совей конструкции встроенные оптические энкодеры. Нами, как производителем сервоприводов, закупаются кодовые диски для сборки энкодеров, на основе которых реализуется обратная связь в сервоприводах СПШ. На базе инженерного отдела компании Сервотехника осуществляется монтаж энкодерной головки и установка кодового диска (диска с метками).

Установка энкодерной головки для сервопривода с векторным управлением. Производится монтаж считывающей головки энкодера.

Установка энкодерного диска для сервопривода с векторным управлением. Производится монтаж диска энкодера.

Энкодер внутри корпуса сервопривода имеет дополнительный пластиковый корпус, чтобы предотвратить попадание посторонних частиц на считывающие элементы. Производится установка корпуса энкодера.

Цифровые платы управления и силовые платы для сервоприводов
Сервопривод СПШ - разработан инженерами компании Сервотехника в России "с нуля". Мы не использовали копирование каких-либо элементов цифровых плат сторонних производителей, вся схемотехника была разработана специально для достижения требуемых характеристик, легкого монтажа платы и получения компактных размеров сервопривода.

Монтаж узлов и компонентов
Элементы и узлы цифровых плат расположены очень эффективно. Алюминиевый корпус сервопривода является одновременно радиатором для силовых ключей сервопривода, а также жесткой конструкцией для крепления плат.

Ключи силового блока сервопривода разнесены по сторонам с тем, чтобы осуществить монтаж платы внутри корпуса, который одновременно служит охлаждающим радиатором. Таким образом достигается эффективная компановка всех элементов на печатной плате и достигается наиболее компактное расположение деталей.
Настройка и тестирование сервоприводов
Абсолютно каждый сервопривод СПШ проходит индивидуальную проверку и тестирование технических характеристик на соответствие заданным параметрам. Отдел технического контроля проверяет каждый сервопривод перед маркировкой и упаковкой.
При настройке сервопривода используется специализированное программное обеспечение, которое запускает сервопривод и опрашивает все его внутренние элементы/узлы, это делается для того, чтобы проверить работоспособность и возможное наличие ошибок:
1. Значения температурного датчика
2. Проверка датчиков силового напряжения
3. Проверка датчиков цифрового напряжения
4. Тестирование работы встроенного энкодера
5. Проверка Z метки встроенного энкодера
6. Тестирование портов ввода/вывода
7. Версия программного обеспечения сервопривода
Данные технического тестирования заносятся в индивидуальный лист работоспособности сервопривода, после чего, присваивается уникальный серийный номер, который указывается на корпусе и индивидуальной упаковке конкретного сервопривода. Если хотя бы один элемент сервопривода при контрольном тестировании не удовлетворяет требованиям - изделие отбраковывается и предпринимаются дополнительные меры по устранению неисправности. После чего, сервопривод, проходит все тесты заново. Только полностью исправные сервоприводы СПШ поставляются клиентам.
Вместе с каждым сервоприводом СПШ поставляется лист-распечатка "ТЕСТ ПРИВОДА" в котором указаны результаты пройденных тестов конкретного образца сервопривода СПШ.

Цифровые сервоприводы СПШ настраиваются при помощи бесплатного программного обеспечения МотоМастер (MotoMaster). Программное обеспечение для настройки сервопривода СПШ полностью разработано программистами Сервотехники. МотоМастер можно скачать с нашего сайта (servotechnica.ru). Программирование можно осуществлять через стандартное подключение USB 2.0.

Выходной контроль качества
Все приводы СПШ проходят обязательный автоматический цикл тестирования, который нацелен на проверку всех функциональных блоков сервопривода и на выявление скрытых дефектов сборки привода и монтажа электронных компонентов.
Общий комплекс тестирования разбит на три этапа:
- Проверка всех функциональных блоков привода (датчиков позиции, токов, напряжения, температуры, защиты от КЗ, всех интерфейсов, а также обмоток двигателя).
- Виброиспытания. Партия установленных на вибростенд приводов, которые отрабатывают тестовую программу движения, подвергается вибрациям на частотах от 0 до 70 Гц, с ускорением до 1,2g в течение 3 часов.
- Повторная проверка всех функциональных блоков привода.

По завершению исправления выявленных дефектов сервоприводы проходят полный повторный цикл испытаний.
Технические характеристики сервоприводов
| Артикул | СПШ20-23017 | СПШ20-34080 | СПШ20-34100 |
| Тип двигателя | Гибридный | Гибридный | Гибридный |
| Мощность, Вт | 70 | 200 | 270 |
| Момент удержания, Нм | 1,8 | 8 | 10 |
| Номинальный ток, А | 3 | 6 | 6,5 |
| Напряжение питания блока управления, В | 15 | 15 | 15 |
| Напряжение питания силовой части, В | 24-85 | 48-120 | 48-120 |
| Момент инерции вала ротора, кг · см² | 0,4 | 2,7 | 4 |
| Разрешение энкодера, имп/об | 1000, 2000, 40000 * | ||
| Допустимая эксплуатационная температура окружающей среды, 0С | +5...+50 | ||
| Температура хранения, 0С | -40...+50 | ||
| Исполнение | IP54 | ||
| Типоразмер | NEMA 23 | NEMA 34 | NEMA 34 |
| Масса, кг | 1,9 | 4,4 | 6,4 |
*по запросу возможна установка энкодера с разрешением до 160 000 имп/об
Внедрение, интеграция и проекты с сервоприводом СПШ
С применением сервоприводов СПШ реализована масса проектов. На основе данного Сервопривода могут быль реализованы различные проекты, требующие оптимальных затрат.

Основные преимущества интегрированного сервопривода: простота установки, гибкая настройка (цифровой и аналоговый интерфейсы), возможность программирования, доступная стоимость, локальная поддержка клиентов.
Один из наиболее показательных примеров применения интегрированного сервопривода, так называемая конструкция (система) "танцующих фонтанов".
Решение полностью реализовано на интеллектуальных сервоприводах СПШ и не требует дополнительного оборудования/устройств для контроля или программирования движений (отсутствуют какие-либо внешние ПЛК, ЧПУ и пр. контроллеры).
Все движения реализуются при помощи встроенных контроллеров внутри интегрированного сервопривода. Сервоприводы выполняют несколько программ движений, которые в последствии можно изменить и закачать через обычный персональный компьютер.
Российский разработчик сервопривода
Компания Сервотехника является разработчиком данного сервопривода. Специалисты компании помогут подобрать необходимую модель сервопривода, и при желании, разработать проект с использованием требуемого конструктива. Возможно осуществление монтажа и пуско-наладки Вашего оборудования (для этого необходимо ТЗ).
Производство и сборка сервопривода осуществляется на производственном предприятии, входящим в группу компаний. Покупая продукцию у нас, Вы получаете только 100% оригинальную продукцию непосредственно от разработчика, а так же официальную официальную гарантию и сервисное обслуживание данного изделия.
Купить Сервопривод
О компании Сервотехника
Компания Сервотехника одна из старейших инжиниринговых компаний на российском рынке. В сферу интересов компании входит множество направлений деятельности из различных отраслей промышленности. Кроме того, Сервотехника постоянно привносит новые идеи и начинания в процессы своей работы.
Мы стремимся быть интересными для своих клиентов и опережающими для конкурентов, предлагая новые сервисы и условия работы.
К примеру, мы одна из немногих российских компаний, которая обладает собственным производственным парком ЧПУ станков в Подмосковье, обеспечивая полный производственный цикл для создания высокотехнологичных изделий для автоматизации промышленных предприятий: модули линейных перемещений, интегрированные сервоприводы, муфты, и пр. На нашем производственном предприятии изготавливаются технологически сложные, высокоточные изделия для решения широкого круга задач по автоматизации процессов.
Мы одни из первых привели на российский рынок ведущих европейских производителей высокоточных редукторов, сервоприводов, энкодеров, и пр.
Кроме того, мы осуществляем разработку и изготовление сложных нестандартных изделий через НИОКР на собственном производстве полного цикла.
Кроме того, компания Сервотехника, имеет значительный опыт поставок комплектующих и узлов для высокоточных механических устройств, используемых в медицине на производственных, сборочных, фасовочных и маркировочных линиях. Являясь официальными дилерами множества европейских производителей, мы всегда можем предложить:
, , в спец исполнении для особо чистых помещений и многое другое.
Более того, компания Сервотехника имеет собственное производство, способное осуществить модификации существующего промышленного и лабораторного оборудования, учитывая индивидуальные требования заказчиков.
Готовы предложить и другую полезную номенклатуру товаров в области промышленных комплектующих и узлов для автоматизации производств.
Больше полезной информации и новостей:
Сайт компании Сервотехника
Яндекс Дзен Сервотехники - новости и полезная информация
В Контакте - информация о новинках и продукции Другие новости
Нужна консультация?
Свяжитесь с нами для получения дополнительной информации или консультации с инженером.
Полный цикл инжиниринговых работ
От технического задания до запуска в производство
Предпроектная подготовка
- Анализ технического задания заказчика
- Экспертная оценка возможности реализации
- Этап эскизного проектирования
- Согласование технических параметров
- Подготовка ТКП
Конструкторская подготовка
- Создание 3D-моделей оборудования
- Разработка конструкторской документации
- Выполнение необходимых расчетов
- Подготовка технологических процессов
Изготовление оборудования
- Закупка комплектующих и материалов
- Механическая обработка деталей
- Сборка узлов и агрегатов
- Проведение испытаний и тестирования




